VCE高数SM | 听说,今年这些题必考?

童鞋们!
还有一个月(11.19)就要考高数了!

往年试卷都研究透了吗?
模考做了吗?

复习一定要有策略
方能事半功倍
今天,小编就来带大家
精析往年试卷 总结必考知识点
快来仔细看看 查漏补缺!


大考总体结构
大考话题
因为疫情原因,这次考试的话题缩减为五大板块分别为
Functions and graphs
Algebra
Calculus
Vectors
Mechanics
注:Probability and statistic 今年是不会考的,所以大家做往年真题可以不用看它。
大考结构
高数大考一共分两部分。
Exam 1
纯计算简答10题,共计40分。
这一部分是不准用任何形式的计算器的。只能带笔、橡皮等基础文具类。
答题时间:15分钟阅读时间以及1小时的答题时间。
Exam 2
选择20题+计算简答6题,共计80分。
这一部分是可以用CAS计算器的。
答题时间:15分钟阅读时间以及2小时的答题时间。

小编在这里帮大家分别整理了
Exam1和Exam2必考的知识点
并精心选配了往年真题
同学们可以自测一下
这几块的知识点都掌握了吗?

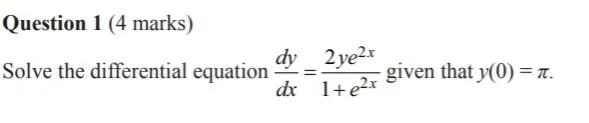
a. Calculus:Differential & Integral
i)基础的anti-differentiation以及differential equation计算题
ii)1st and 2nd derivative – 这一般是会结合其他的知识点一起出现在大题里。
常见的失分点主要是学生对于微积分计算的不熟练,公式套错,
?所以这类题型应对方法主要还是刷题为主。
?对不同求导的题目能做到一看就知道是用哪种公式方法。
?例如:看到tangent to the curve应该要想到derivative和chain rule。
Exam 1
以下是近三年Exam 1真题截选,大家来自测一下吧~
2019年真题



2018年真题


2017年真题



Exam 2
这几年的section B第一题考点也都有derivative。
较于Exam 1大多数题型只专注于考察一个板块里的知识点,Exam 2更倾向于把不同知识点结合在一起考,这样难度加强,考验的不仅是考生对每个知识板块的理解,更是要会结合并联系多种知识点。
像微积分这块,题型常见的就是把它和functions给融合在一起,e.g. circular functions.
由于Exam2每题篇幅较大,历年考点也差不多,小编就选择一份例子来做个代表~
同学们来自测一下2019年的这个例子吧~





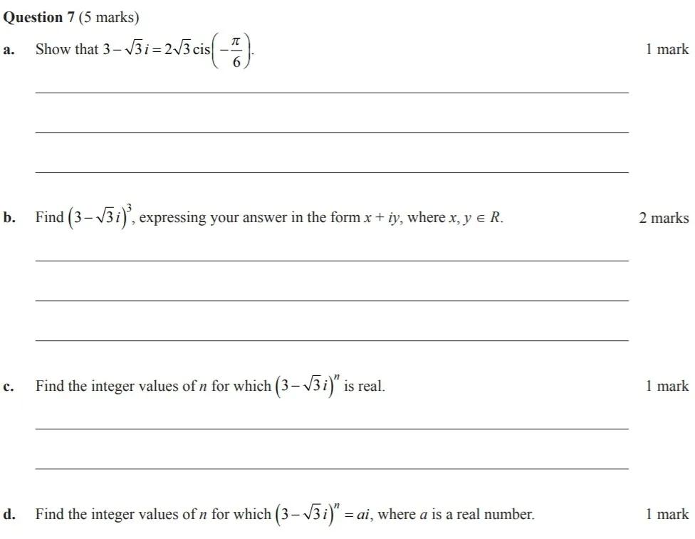
b. Complex numbers
这一类知识点每年基本是只会出现一题纯考虚数这一块知识点的计算题。
常考的内容有:complex plane, polar form,nth root相关知识点。
失分的点大多是
i.运用错了解题方法
ii.geometric interpretation了解不够透彻。
?关于这方面,大家要对其下的各种公式和theorem要了解,常见的如De Moivre’s theorem。
?高数想高分的技巧其实主要就是对不同板块的公式都是需要熟练掌握。
所以想高分的同学一定要在这上面花功夫。
Exam 1
以下是近三年Exam 1真题截选,大家来自测一下吧~
2019年真题

2018年真题

2017年真题

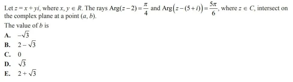
Exam 2
虚数也是每年Exam2必出现的题目。
不过,相较于Exam1在考虚数时更侧重于计算,Exam2把graphing也结合了。
所以大家可以发现历年考题都会有Argand diagram。
所以对于geometric representation这块是要注意哒~
小编这里给大家选了2018年的真题,大家来自测下吧~



c. Vectors & Functions
Vectors做为每年必考知识点,在Exam1中常会和circular functions一起出现。
所以对于sin, cos, sec等三角函数内容大家也要能做到灵活运用。
Exam 1
以下是每年Exam1出现的真题截选
2019年真题

2018年真题

2017年真题

Exam 2
Exam2较于Exam1倒不会常把sin cos这种参数结合在i,j,k向量里。
因为Exam2篇幅较大,倾向于在一个情境下分析情况,除了着重于考向量的基本运算,如:向量夹角大小等(2019年真题),很大概率有vector calculus里的position vector(2017&2018年真题)!
小编这里选了一道2017年的真题~请各位客官自测~



d. Motion of a Body
这一题型主要是考力的解析
?特别是物体受力分析以及力的分解!
?对于相关的求力的公式如Lami’s equation要熟练掌握。这些都一定要考前弄懂,不会的及时问小伙伴或者找老师解惑噢~
Exam1
2019

2018

2016

Exam2
虽然这种给物体分析力的题不是每年都有,但是至少在这两年Exam2也是都有出现的。
这里给大家看一下真题:
2019年真题

2018年真题

除了以上知识点,Exam2选择题常考考点(除去今年不考的Probability)还有:
Circular functions 的特征

Differential equation 的 direction field

Integral

Motion & equilibrium

Complex plane & Argand diagram

TIPS:不要依赖Formula sheet
历年考生失分原因大多就是不知道用什么公式,或者用错公式。
大家不要觉得反正specialist大多都是套公式,反正有formula sheet,只要了解了也没什么好多练的。这是完全错误的认知!
公示表只能辅助你答题而已,如果你不够熟练每种题型,考试也只能看着公式表一脸懵。
真正熟练的同学会在理解的基础上记忆公式,并能灵活选择和使用公式。
总结
大家会发现每年必考题是相对稳定的
大家一定要把这写高频考点了解透彻
再对知识点逐一排查
对症下药 按板块刷题
吟领学生记得及时将作业拍照
发给老师批改、听错题讲解!
最后
祝大家都能战胜高数这个【VCE大魔王”!


添加龙老师
预约VCE高数试听
获取私人定制课程计划


