Alevel高数FP2 | 听说,今年这些题必考(爱德思)?


Alevel 高数考前知识点冲刺宝典
看这篇就够了!
还有一个月(10.22)
就要考爱德思高数FP2的童鞋们!
每个知识点都掌握了吗?
往年试卷都研究透了吗?
模考做了吗?
这么多科目 这么多任务
复习一定要有策略
方能事半功倍
今天,小编就来带大家
精析往年试卷 总结必考知识点
快来仔细看看 查漏补缺!
本次主要讲解
Further Pure Mathematics 2(FP2)
本期分享教师
FRANK ALEVEL数学

美国卡耐基梅隆大学
土木环境工程硕士
ALEVEL教龄7年
现任环境工程专业高校讲师
擅长教授ALEVEL各科数学
PURE MATHS、FURTHER MATHS、
PROBABILITY AND STATISTICS、
MECHANICS、DECISION MATHS
ALEVEL学生数学A*率近100%
曾帮助学生从U(不及格)提高到A
AP微积分、统计学5分率90%
辅导学生在AMC、STEP、滑铁卢
等国际数学竞赛中取得名次







一、Alevel高数FP2大考总体结构
大考话题
Alevel高数Further Pure Mathematics 2
考试的话题集中在以下八大主题:
o Inequalities
o Series
o Complex numbers
o Further argand diagrams
o First-order differential equations
o Second-order differential equations
o Maclaurin and Taylor series
o Polar coordinates
大考结构
Alevel高数Further Pure Mathematics 2 10月大考
o 大考时间:2021.10.22
o 考试时长:90分钟
o 卷面总分:75分
o 计算器:允许使用Pearson规定的计算器
o 考试题量:通常为8题
(FP2各章节之间相对独立,因此题目中对于不同章节知识点的交叉情况较少,每个主题一般涉及1题)
友情提示:FP2对于计算要求较高,大家一定不要忽视【时间管理”的重要性。考试时尽量不要在一道题上思考时间太久。想不出的先跳过,争取把会的分都要拿到手。有多余时间再翻回去研究前面卡住的题目。
二、Alevel高数FP2必考题
吟领老师在这里帮大家整理FP2必考的知识点,并精心选配了往年真题,同学们可以自测一下~
这几块的知识点都掌握了吗?
a.Inequalities
这一类知识点常见题型有:
o 两个含未知数的分数的不等式求解;
o 含有绝对值函数的不等式求解。
常见的失分点主要是学生对于高阶函数求解范围选取错误,
?基础步骤是两边同乘分母平方→移项整理求临界值→计算或图像确定区间。
?可以通过数轴的形式标出不等式解集,并通过特殊点代入验证进行检验。
?最后还要注意分母不能为零对于解集的影响。
来一起看看Alevel高数FP2的2020年真题(绝对值不等式):

2017年Alevel高数FP2真题(分数不等式)

b.Series
这一类知识点每年在Alevel高数FP2基本都是连环三问的形式出题:
o 第一问用partial fractions表示一个繁分数。
o 第二问将该繁分数的求和结果,通过裂项相消的方式,表示为题目要求的最简形式。
o 第三问求从r→n的累计求和。
这类题型难点一般集中在第二问化简时无法求得题目要求的形式,所以老师提出以下建议:
?确保partial fractions结果正确。
?利用枚举法将求和项裂项,并在其中寻找可见的循环性规律。具体做法为:求和时将前三项(r=1,r=2,r=3)和后三项(r=n-2,r=n-1,r=n)展开,消除重复项,获得最终形式,再进行通分化简。
以下是往年series往年真题截选,大家快来自测一下~

【2020年Alevel高数FP2真题】

【2019年Alevel高数FP2真题】
c.Complex numbers
该章节每年Alevel高数FP2的考试都会出现,考试题型有多种,需要同学们掌握以下知识点并熟练应用:
1.利用欧拉方程转化出复数的指数形式
2.利用乘除法则进行de Moivre公式和相关变形的推导证明
3.利用de Moivre公式和变形方法进行复数范围内 n 阶方程式求解
4.利用de Moivre公式和三角函数运算法则和差公式等内容,进行三角函数类型题目证明和求解。
以下是近年来Alevel高数FP2出现的真题截选,同学们来做做看:

【2020年Alevel高数FP2真题】

【2019年Alevel高数FP2真题】

【2018年Alevel高数FP2真题】
d.Further argand diagrams
该章节内容是在第三章的基础之上,进一步研究进阶复平面图像问题,主要考点有以下几个方面,大家一定要多加注意:
1.学习考察复平面内的圆的一般形式和化简过程
2.学习考察复平面内垂直平分线的一般形式和化简过程
3.学习考察复平面距离内成倍数关系的圆的一般形式和化简过程。
4.掌握理解复平面之间的转化公式以及对应的转化方法。
??注意:其中第四个知识点常作为考点!!!
针对这类题目,老师推荐这样解题:
a.首先变形w平面和z平面的关联公式,用w表示z。
b.带入z本身的位置关系公式进行设未知数的求解方法。
c.根据已知的图像关系从几何学较度寻找边长、距离等具体因素。
大家可以用老师推荐的解题步骤,试试看解往年Alevel高数FP2的真题:

【2020年Alevel高数FP2真题】

【2019年Alevel高数FP2真题】

【2018年Alevel高数FP2真题】
e.First-order
differential equations
该章节历年考生得分率较高,考点较为固定,主要是一阶微分方程求解步骤的运用。
在此之前,同学们要先复习以下知识点:
1.掌握一阶微分方程的基本定义
2.学习一阶微分方程的分离变量求解方法
3.学习齐次的一阶微分方程如何进行积分求解,利用乘法法则原理进行求解方法的理解
4.非齐次一阶微分方程换元法求解过程展示
在一阶微分方程的求解过程中,大家可以按照以下步骤进行:
a.利用换元法将原式转化为齐次一阶微分方程。
b.利用积分公式计算积分因式。
c.代入积分因式内容进行导数乘法法则求解。
d.利用积分方法计算等式另一边的函数内容
同学们,我们来一起看看2018-2020年真题:

【2020年Alevel高数FP2真题】

【2019年Alevel高数FP2真题】

【2018年Alevel高数FP2真题】
f.Second-order
differential equations
本章内容二阶微分方程作为上一章的延伸,但是在复杂程度和计算量上,有了很大程度的提升。老师给同学们总结了两个复习关键:
首先,同学们需要理解二阶微分方程的基本含义和基本求解方法。
其次,掌握理解二阶微分方程中两个待定系数 AB的含义。
这一章的考试分为两类题型:
1.掌握求解齐次二阶微分方程的具体步骤。
1) 通过求解一元二次方程的方法,代入到对应的公式中进行求解。
2) 利用二次方程跟的个数进行原方程的假设。
3) 求解出对应的系数内容。
2.掌握求解非齐次线性二阶微分方程的方法。
1)通过齐次二阶微分方程相关方法确定CF函数。
2) 通过待定系数法进行特定积分函数PI的求解。
3)PI函数+CF函数即为最后答案 。
易错点集中在以下方面:
?PI函数和CF函数中如果有重复的项,一定要注意多乘上一个x。
?如果函数涉及到换元计算的方法,求解完毕后务必恢复为未知数形式。
我们一起来看看近年Alevel高数FP2出现的真题:

【2020年Alevel高数FP2真题】

【2019年Alevel高数FP2真题】

【2018年Alevel高数FP2真题】
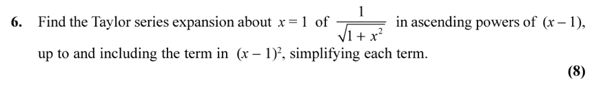
g.Maclaurin and Taylor series
麦克劳林级数和泰勒展开内容往年学生学习过程中较难理解,尤其是推导过程很多学生认为是在听天书,好在公式不需要记忆,只需根据题型正确选择使用即可。
在做题前,同学们应该结合教材例题,梳理以下知识点:
1.麦克劳林级数和泰勒展开式的基本定义和求解公式
2.麦克劳林级数公式的推导过程以及常见麦克劳林公式表
3.泰勒公式的基本表示形式和计算方法
4.利用常见的麦克劳林级数进行化简求解
5.利用麦克劳林级数推导泰勒展开式
6.利用麦克劳林级数和泰勒公式进行估算求值
在这一章中,同学们需要格外注意的是以下两个易错点:
?麦克劳林级数和泰勒展开式中都有一些关于系数的阶乘项,大部分同学做题的时候比较容易漏掉阶乘项的内容。
?使用麦克劳林级数时,求导展开计算问题较大,隐函数展开方法掌握不够到位。
以下是近年来出现的真题截选

【2020年Alevel高数FP2真题】

【2019年Alevel高数FP2真题】

【2018年Alevel高数FP2真题】
h.Polar coordinates
极坐标在本教材中算是相对独立的章节,考点和前面七章不会重叠,且理解起来难度不大。
根据近几年的分析,考试题型较为单一。
大家在复习备考过程中,仔细思考以下知识点的掌握情况:
1.极坐标基本定义和极坐标直角坐标之间的转化公式
2.常见的极坐标形式化简
3.极坐标求解交点的具体方法
4.极坐标求解围成面积的具体积分公式
5.极坐标求导数和切线的具体方法
本章易错点主要集中在以下三个方面,同学们在刷题时要格外注意:
?极坐标求解交点过程中正负符号问题容易反向。
?极坐标求解面积时容易发生积分计算的错误现象,比较容易出现三角函数的平方关系,二倍角公式的使用很重要。
?极坐标求面积时,上下限选择出现错误。
以下是近年来Alevel高数FP2出现的真题截选

【2020年Alevel高数FP2真题】

【2019年Alevel高数FP2真题】

【2018年Alevel高数FP2真题】
总结
通过梳理这些知识点、重难点,大家会发现,其实每年Alevel高数FP2的必考题都是相对稳定的。大家一定要把这写高频考点了解透彻,再对知识点逐一排查,对症下药,按板块刷题。
吟领学生记得及时将作业拍照,发给老师批改、听错题讲解!
最后
祝大家考试顺利,战胜【FP2大魔王”!

END
添加龙老师
预约Alevel高数在线试听
获取私人定制学习计划

公众号:吟领海外

